Our Work
Company Database Design and Management Platform - 1
1 / 3

Company Database Design and Management Platform

Next.jsERDDatabase Management SystemCRUD Operations
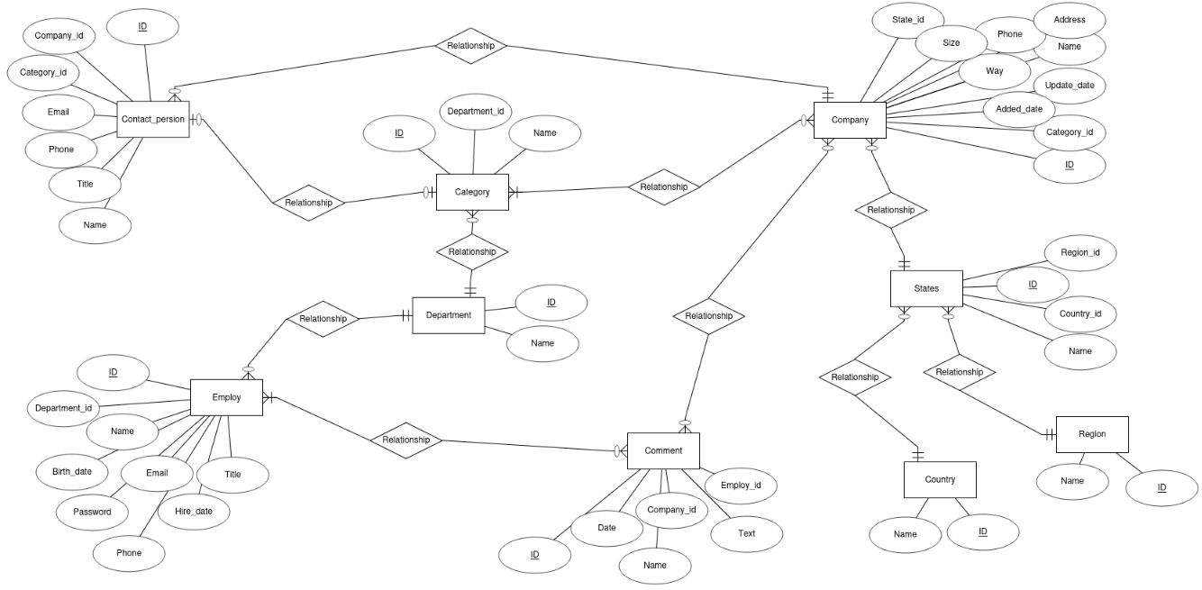
This project involved building a comprehensive company database along with a fully functional management platform developed using Next.js. The system supports full CRUD operations and helps the company optimize internal processes by automating repetitive tasks, saving time, and improving productivity. Data is stored in a structured and efficient manner, enabling long-term historical tracking and better decision-making based on reliable insights. The first phase of the project was successfully completed in only five days, demonstrating effective planning and fast execution.